【药品名称】
通用名:口服葡萄糖
英文名:Glucose pro orale
汉语拼音:Koufu putaotang
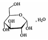
本品化学名称为:D-(+)-吡喃葡萄糖一水合物。
其结构式为:

分子式:C6H12O6    分子量:198.17
【性状】本品为白色或几乎白色结晶性或颗粒性粉末;无臭,味甜。
【药理毒理】葡萄糖为机体所需能量的主要来源,在体内被氧化成二氧化碳和水并同时供给热量,或以糖原形式贮存,能促进肝脏的解毒功能并对肝脏有保护作用。
【药代动力学】葡萄糖口服后能迅速吸收,进入人体后被组织利用,也可转化成糖原和脂肪贮存,一般正常人体每分钟利用葡萄糖的能力为4~6mg/kg。
【适应症】用作营养补助,过多应用本品可致血糖升高,肝及其他组织脂肪堆积。。
【用法用量】口服,每次1/10包(50g)以内。
【不良反应】(1)口服速度过快和浓度过高时可出现胃肠道不适;(2)长期单纯补给葡萄糖时,通过利尿等因素可出现低钾、低钠及代磷血症。
【注意事项】(1)糖尿病酮症酸中毒未控制者、高血糖非酮性高渗状态者、葡萄糖-半乳糖吸收不良症者禁用;(2)置于儿童不能触及处。
【规格】500g
【贮藏】密封,在干燥处保存。
【包装】塑料袋500g/包
【有效期】2年
【批准文号】国药准字H36021985
【生产企业】 江西新赣江药业有限公司
 

